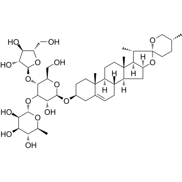
Cas No|Cas Number|CAS Registry Number:76296-72-5 .
Chemical Name|Molecular Name:Polyphyllin II
Formulanor:C44H70O16
Synonyms:β-D-Glucopyranoside, (3β,25R)-17-hydroxyspirost-5-en-3-yl O-α-L-arabinofuranosyl-(1->4)-O-[6-deoxy-α-L-mannopyranosyl-(1->3)]-, (3β,25R)-17-Hydroxyspirost-5-en-3-yl α-L-arabinofuranosyl-(1->4)-[6-deoxy-α-L-mannopyranosyl-(1->3)]-β-D-glucopyranoside, PolyphyllinD, N1953, Polyphyllin II
Molecular Weight:871.016
Chemical Name|Molecular Name:Polyphyllin II
Formulanor:C44H70O16
Synonyms:β-D-Glucopyranoside, (3β,25R)-17-hydroxyspirost-5-en-3-yl O-α-L-arabinofuranosyl-(1->4)-O-[6-deoxy-α-L-mannopyranosyl-(1->3)]-, (3β,25R)-17-Hydroxyspirost-5-en-3-yl α-L-arabinofuranosyl-(1->4)-[6-deoxy-α-L-mannopyranosyl-(1->3)]-β-D-glucopyranoside, PolyphyllinD, N1953, Polyphyllin II
Molecular Weight:871.016
