Cas No|Cas Number|CAS Registry Number:996-33-8 .
Chemical Name|Molecular Name:diterbium trioxalate
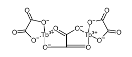
Formula:C6O12Tb2
Synonyms:TERBIUM OXALATE, Tris(oxalato)diterbium, EINECS 213-632-9, Terbium oxalate (Tb2(C2O4)3), Terbium, [μ-[ethanedioato(2-)-O,O''':O',O'']]bis[ethanedioato(2-)-O,O']di-, Oxalic acid, terbium(3+) salt (3:2)
Molecular Weight:581.908
Chemical Name|Molecular Name:diterbium trioxalate
Formula:C6O12Tb2
Synonyms:TERBIUM OXALATE, Tris(oxalato)diterbium, EINECS 213-632-9, Terbium oxalate (Tb2(C2O4)3), Terbium, [μ-[ethanedioato(2-)-O,O''':O',O'']]bis[ethanedioato(2-)-O,O']di-, Oxalic acid, terbium(3+) salt (3:2)
Molecular Weight:581.908
