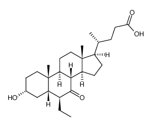
Cas No|Cas Number|CAS Registry Number:915038-25-4 .
Chemical Name|Molecular Name:3α-hydroxy-6β-ethyl-7-keto-5β-cholanic acid
Formulanor:C26H42O4
Synonyms:Obeticholic Acid intermediate, Cholan-24-oic acid,6-ethyl-3-?hydroxy-7-oxo-,(3Alpha,5Beta,6Beta)-, Obeticholic Acid Impurity 9
Molecular Weight:418.609
Chemical Name|Molecular Name:3α-hydroxy-6β-ethyl-7-keto-5β-cholanic acid
Formulanor:C26H42O4
Synonyms:Obeticholic Acid intermediate, Cholan-24-oic acid,6-ethyl-3-?hydroxy-7-oxo-,(3Alpha,5Beta,6Beta)-, Obeticholic Acid Impurity 9
Molecular Weight:418.609
