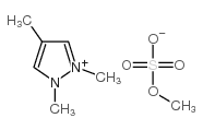
1 2 4-TRIMETHYLPYRAZOLIUM METHYLSULFATE

Cas No|Cas Number|CAS Registry Number:856614-13-6 .
Chemical Name|Molecular Name:1 2 4-TRIMETHYLPYRAZOLIUM METHYLSULFATE
Formula:C7H14N2O4S
Synonyms:1,2,4-Trimethylpyrazolium methylsulfate, BASIONIC ST 33, MMMPz MeOSO3
Molecular Weight:222.262
赞赏/donate