Cas No|Cas Number|CAS Registry Number:822-17-3 .
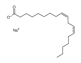
Chemical Name|Molecular Name:linoleic acid sodium salt
Formula:C18H31NaO2
Synonyms:octadeca-9c,12c-dienoic acid,sodium linolate, cis,cis-Linoleate sodium salt, EINECS 212-491-0, dipotassium 3-(2-hydroxy-3-methoxyphenyl)-2-[2-methoxy-4-(3-sulfonatopropyl)phenoxy]propane-1-sulfonate, Sodium lignosulfonate, sodium lignosulfate, sodium linoleate, Borresperse NA, Sodium lignin sulfonate, Octadeca-9c,12c-diensaeure,Natriumlinolat, linoleic acid,sodium salt, sodium linolate, MFCD00063202
Molecular Weight:302.427
Chemical Name|Molecular Name:linoleic acid sodium salt
Formula:C18H31NaO2
Synonyms:octadeca-9c,12c-dienoic acid,sodium linolate, cis,cis-Linoleate sodium salt, EINECS 212-491-0, dipotassium 3-(2-hydroxy-3-methoxyphenyl)-2-[2-methoxy-4-(3-sulfonatopropyl)phenoxy]propane-1-sulfonate, Sodium lignosulfonate, sodium lignosulfate, sodium linoleate, Borresperse NA, Sodium lignin sulfonate, Octadeca-9c,12c-diensaeure,Natriumlinolat, linoleic acid,sodium salt, sodium linolate, MFCD00063202
Molecular Weight:302.427
