Cas No|Cas Number|CAS Registry Number:79974-46-2 .
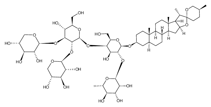
Chemical Name|Molecular Name:tribulosin
Formula:C55H90O25
Synonyms:
Molecular Weight:1151.29
Chemical Name|Molecular Name:tribulosin
Formula:C55H90O25
Synonyms:
Molecular Weight:1151.29
