Cas No|Cas Number|CAS Registry Number:666177-69-1 .
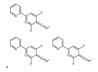
Chemical Name|Molecular Name:Tri[2-(5-cyano-4,6-difluorophenyl)pyridinato-C2,N] Iridium(III)
Formula:C36H15F6IrN6
Synonyms:
Molecular Weight:837.752
Chemical Name|Molecular Name:Tri[2-(5-cyano-4,6-difluorophenyl)pyridinato-C2,N] Iridium(III)
Formula:C36H15F6IrN6
Synonyms:
Molecular Weight:837.752
