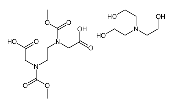
N,N'-ethylenebis[N-(carboxymethyl)glycine], compound with 2,2',2''-nitrilotri(ethanol)

Cas No|Cas Number|CAS Registry Number:66558-66-5 .
Chemical Name|Molecular Name:N,N'-ethylenebis[N-(carboxymethyl)glycine], compound with 2,2',2''-nitrilotri(ethanol)
Formula:C16H31N3O11
Synonyms:Ethylenediaminetetraacetic acid,triethanolamine salt, Ethylenediaminetetraacetic acid,compd. with triethanolamine, N,N'-Ethylenebis(N-(carboxymethyl)glycine),compound with 2,2',2''-nitrilotri(ethanol), 2,2'-{ethane-1,2-diylbis[(methoxycarbonyl)imino]}diacetic acid-2,2',2''-nitrilotriethanol(1:1)(non-preferred name), EINECS 266-406-7, Ethylenediamintetraacetic acid,triethanolamine salt
Molecular Weight:441.431
赞赏/donate