Cas No|Cas Number|CAS Registry Number:61840-27-5 .
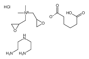
Chemical Name|Molecular Name:N'-(2-aminoethyl)ethane-1,2-diamine,dimethyl-bis(oxiran-2-ylmethyl)azanium,hexanedioic acid,chloride
Formula:C18H39ClN4O6
Synonyms:Oxiranemethanaminium,N,N-dimethyl-N-(oxiranylmethyl)-,chloride,polymer with N-(2-aminoethyl)-1,2-ethanediamine and hexanedioic acid, dimethyl-bis(oxiran-2-ylmethyl)azanium, Adipic acid/dimethylaminohydroxypropyl diethylenetriamine copolymer
Molecular Weight:442.978
Chemical Name|Molecular Name:N'-(2-aminoethyl)ethane-1,2-diamine,dimethyl-bis(oxiran-2-ylmethyl)azanium,hexanedioic acid,chloride
Formula:C18H39ClN4O6
Synonyms:Oxiranemethanaminium,N,N-dimethyl-N-(oxiranylmethyl)-,chloride,polymer with N-(2-aminoethyl)-1,2-ethanediamine and hexanedioic acid, dimethyl-bis(oxiran-2-ylmethyl)azanium, Adipic acid/dimethylaminohydroxypropyl diethylenetriamine copolymer
Molecular Weight:442.978
