Cas No|Cas Number|CAS Registry Number:511-96-6 .
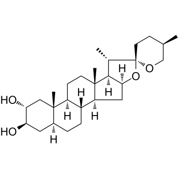
Chemical Name|Molecular Name:Digin
Formula:C27H44O4
Synonyms:(2α,3β,5α,22S,25R)-Spirostan-2,3-diol, Spirostan-2,3-diol, (2α,3β,5α,22S,25R)-, Digin, (25R)-5.α.-Spirostan-2.α.,3.β.-diol
Molecular Weight:432.636
Chemical Name|Molecular Name:Digin
Formula:C27H44O4
Synonyms:(2α,3β,5α,22S,25R)-Spirostan-2,3-diol, Spirostan-2,3-diol, (2α,3β,5α,22S,25R)-, Digin, (25R)-5.α.-Spirostan-2.α.,3.β.-diol
Molecular Weight:432.636
