Cas No|Cas Number|CAS Registry Number:204909-37-5 .
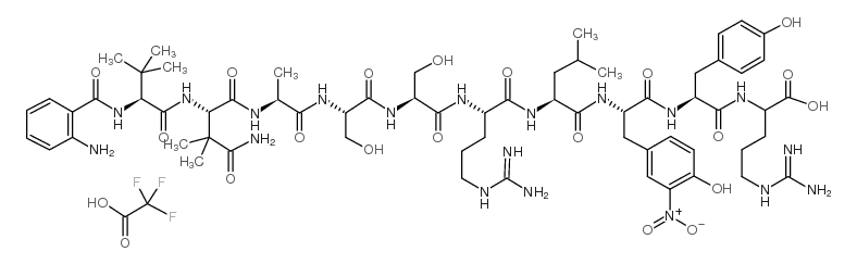
Chemical Name|Molecular Name:Abz-tBu-Gly-tBu-Gly-Asn(Me)2-Ala-Ser-Ser-Arg-Leu-3-nitro-Tyr-Arg-OH
Formula:C66H96F3N19O21
Synonyms:2-Aminobenzoyl-Gly(t-butyl)-Asn(methyl)2-Ala-Ser-Ser-Arg-Leu-Tyr(NO2)-Tyr-Arg trifluoroacetate salt, ABZ-TBU-GLY-TBU-GLY-ASN(ME)2-ALA-SER-SER-ARG-LEU-3-NITRO-TYR-ARG-OH
Molecular Weight:1548.58
Chemical Name|Molecular Name:Abz-tBu-Gly-tBu-Gly-Asn(Me)2-Ala-Ser-Ser-Arg-Leu-3-nitro-Tyr-Arg-OH
Formula:C66H96F3N19O21
Synonyms:2-Aminobenzoyl-Gly(t-butyl)-Asn(methyl)2-Ala-Ser-Ser-Arg-Leu-Tyr(NO2)-Tyr-Arg trifluoroacetate salt, ABZ-TBU-GLY-TBU-GLY-ASN(ME)2-ALA-SER-SER-ARG-LEU-3-NITRO-TYR-ARG-OH
Molecular Weight:1548.58
