Cas No|Cas Number|CAS Registry Number:114873-52-8 .
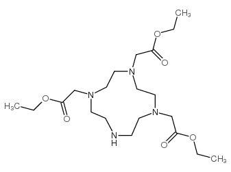
Chemical Name|Molecular Name:TRIETHYL 2,2',2''-(1,4,7,10-TETRAAZACYCLODODECANE-1,4,7-TRIYL)TRIACETATE
Formula:C20H38N4O6
Synonyms:MFCD09263320, ethyl 2-[4,7-bis(2-ethoxy-2-oxoethyl)-1,4,7,10-tetrazacyclododec-1-yl]acetate, Triethyl 2,2',2''-(1,4,7,10-tetraazacyclododecane-1,4,7-triyl)triacetate
Molecular Weight:430.539
Chemical Name|Molecular Name:TRIETHYL 2,2',2''-(1,4,7,10-TETRAAZACYCLODODECANE-1,4,7-TRIYL)TRIACETATE
Formula:C20H38N4O6
Synonyms:MFCD09263320, ethyl 2-[4,7-bis(2-ethoxy-2-oxoethyl)-1,4,7,10-tetrazacyclododec-1-yl]acetate, Triethyl 2,2',2''-(1,4,7,10-tetraazacyclododecane-1,4,7-triyl)triacetate
Molecular Weight:430.539
